NEWS
各位考生:
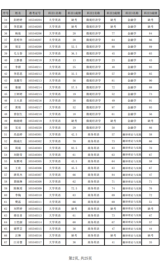
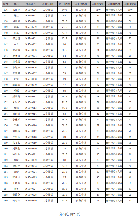
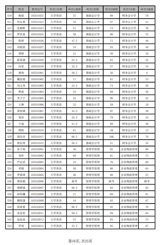
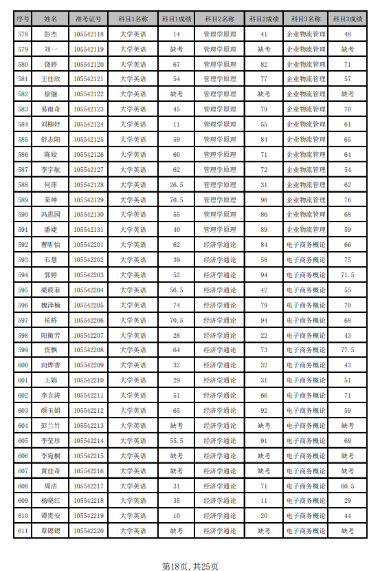
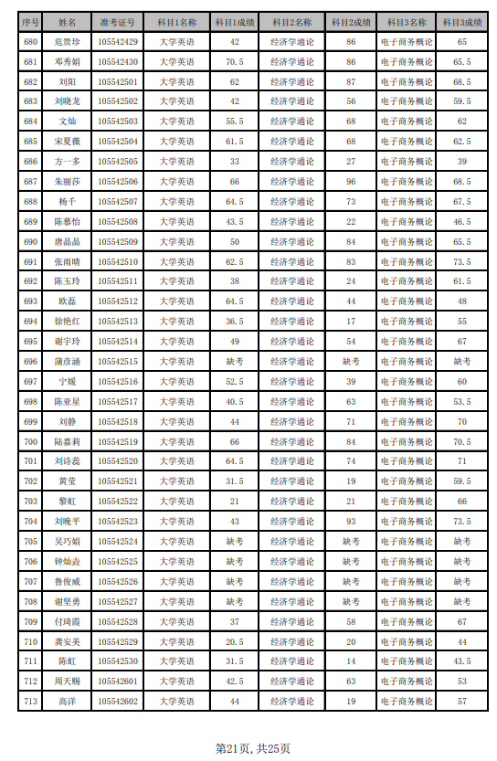
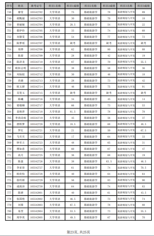
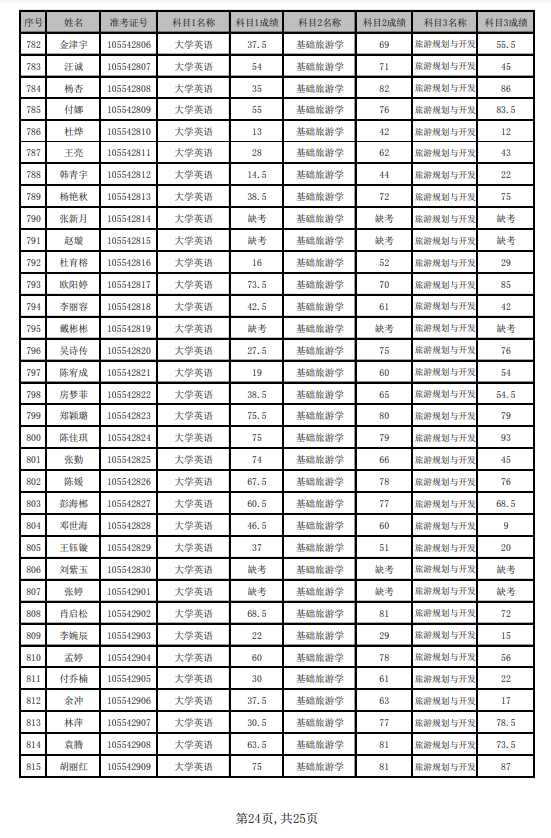
2022年湖南工商大学“专升本”选拔考试(笔试)已经结束,现将考试成绩公示(附件)。公示期为2022年5月15日至5月17日。在公示期内,考生如对成绩有疑问,可以向我校教务处申请查分。我校将按照教育部、国家保密局印发的《教育工作中国家秘密及其密级具体范围的规定》以及湖南省教育厅发布的《关于做好我省2022年普通高等学校专升本考试招生工作的通知》等相关文件要求和规定,组织相关部门和人员对申请查卷考生的试卷卷面总分进行复核,复核结果将在3日内告知学生。
湖南工商大学教务处咨询电话:0731-88689005 王老师
湖南工商大学
2022年5月15日
























*内容来源于:湖南工商大学教务处
扫码关注公众号,免费领取英语四级模拟试卷!
